umpulan Rumus Matematika SMP Kelas 9 Beserta Penjelasan Lengkap
IPS, Matematika, SejarahKumpulan Rumus Matematika SMP Kelas 9 Beserta Penjelasan Lengkap – Ketika kita dibangku SMP kelas 9 tentunya mempelajari berbagai rumus Matematika. Dalam mata pelajaran ini terdapat berbagai materi seperti perpangkatan, bentuk bentuk akar, barisan dan deret (aritmatika dan geometri), perbandingan bertingkat, bangun ruang sisi lengkung, statistika, peluang, koordinat kartesius, maupun fungsi kuadrat. Semua materi ini dapat disatukan hingga menjadi kumpulan rumus Matematika SMP kelas 9.

Setiap siswa kelas 9 memang diharuskan untuk menguasasi seluruh rumus Matematika yang pernah dipelajari sebelumnya. Hal ini karena berkaitan dengan Ujian Nasional yang nantinya akan mereka hadapi. Tes Ujian Nasional ini akan dijadikan sebagai penentu kelulusan kelas 9 untuk melanjutkan ke jenjang sekolah yang lebih tinggi yaitu Sekolah Menengah Atas. Nah pada kesempatan kali ini saya akan menjelaskan tentang berbagai kumpulan rumus Matematika SMP kelas 9. Untuk lebih jelasnya dapat anda simak di bawah ini.
Kumpulan Rumus Matematika SMP Kelas 9 Beserta Penjelasan Lengkap
Matematika ialah salah satu materi pembelajaran yang berguna sebagai penentu kelulusan siswa kelas 9. Mata pelajaran ini dijadikan sebagai salah satu bahan yang diujikan dalam ujian kelulusan. Maka dari itu saya akan membagikan beberapa kumpulan rumus Matematika SMP kelas 9 lengkap dengan pembahasannya. Rumus Matematika tersebut meliputi rumus perpangkatan, bentuk bentuk akar, barisan dan deret (aritmatika dan geometri), perbandingan bertingkat, bangun ruang sisi lengkung, statistika, peluang, koordinat kartesius, maupun fungsi kuadrat. Berikut ulasan selengkapnya.
Baca juga : Rumus Rumus Pangkat (Perkalian, Pembagian, Pangkat Nol dan Negatif)
Perpangkatan dan Bentuk Akar
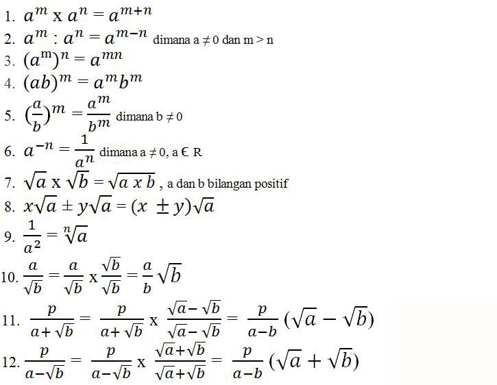
Kumpulan rumus Matematika SMP kelas 9 yang pertama membahas tentang perpangkatan dan bentuk akar. Dalam materi ini terdapat bilangan bulat positif berpangkat yang disimbolkan dengan huruf a dan b. Kemudian adapula bilangan real yang disimbolkan dengan huruf m dan bilangan bulat positif disimbolkan dengan huruf n. Berikut beberapa rumus perpangkatan dan bentuk akarnya:

Barisan dan Deret
Kumpulan rumus Matematika SMP kelas 9 selanjutnya membahas tentang barisan dan deret. Dalam materi barisan dan deret terdapat dua sub menu yang harus dipelajari yaitu barisan dan deret aritmatika serta barisan dan deret geometri. Kedua hal ini memiliki rumus masing masing. Namun saya juga akan membagikan rumus pola barisan secara umum. Berikut rumus pola barisan:
Un = 2n – 1 (n = bilangan asli dan ganjil)
Un = 2n (n = bilangan asli dan genap)
Un = n² (n = bilangan asli dan bentuknya kuadrat)
Un = n (n + 1)/2 (n = bilangan asli dan bentuknya segitiga)
Un = n (n + 1) (n = bilangan asli dan bentuknya persegi panjang)
Un = 2 (n – 1) (n = bilangan asli dan bentuknya segitiga pascal)
Selanjutnya saya akan membagikan kumpulan rumus Matematika SMP kelas 9 mengenai “Barisan dan Deret”.
Aritmatika
Rumus Barisan Aritmatika :
Un = a + (n – 1)b
Ut = ½ (a + Un)
Rumus Deret Aritmatika :
Sn = n/2 x (1+Un)
Sn = n/2 x (2a + n-1) x b)
Un = Sn – (Sn – 1)
Keterangan :
a = suku pertama
b = beda atau selisih antar suku
n = banyaknya suku
Un = suku ke-n
Ut = suku tengah
Sn = jumlah n suku pertama
Baca juga : Rumus, Sifat dan Contoh Soal Deret Geometri
Geometri
Rumus Barisan Geometri :

Keterangan :a = suku pertamar = rasion = banyaknya sukuUn = suku ke-nUt = suku tengahSn = jumlah n suku pertama
Perbandingan Bertingkat
Kumpulan rumus Matematika SMP kelas 9 selanjutnya membahas tentang perbandingan bertingkat. Berikut rumus perbandingan bertingkat :

Bangun Ruang Sisi Lengkung
Kumpulan rumus Matematika SMP kelas 9 selanjutnya membahas tentang bangun ruang sisi lengkung. Untuk materi ini saya akan menjelaskan tentag rumus bangun tabung, kerucut dan bola.
Tabung
Volume = πr²t
Luas Permukaan = 2 πr (r+t)
Keterangan : π = 22/7 atau 3,14r = jari jari lingkarant = tinggi tabung
Kerucut
Volume = 1/3 πr²t
Luas Permukaan = πr (r+s)
Keterangan :π = 22/7 atau 3,14r = jari jari lingkarant = tinggi kerucuts = garis pelukis
Bola
Volume = 4/3 πr²
Luas Permukaan = 4 πr²
Keterangan :π = 22/7 atau 3,14r = jari jari lingkaran
Statistika
Kumpulan rumus Matematika SMP kelas 9 selanjutnya membahas tentang statistika. Untuk materi ini terdapat beberapa sub menu yaitu mean (rata rata), median (nilai tengah), dan modus (nilai yang sering muncul). Setiap sub menu memiliki rumusnya masing masing.
Mean (Rata – Rata)Rumus mean (rata – rata) :

Baca juga : Rumus Volume dan Luas Permukaan Balok Beserta Contoh Soal
Median (Nilai Tengah)Rumus median (nilai tengah) :

Keterangan 😡 = datum ke-n = jumlah seluruh frekuensi
Modus (Nilai Yang Sering Muncul)Rumus Modus :

Keterangan :Mo = ModusTb = Tepid1 = Selisih kelas modus dengan kelas sebelumnyad2 = Selisih kelas modus dengan kelas selanjutnyac = panjang interval kelas
Peluang
Kumpulan rumus Matematika SMP kelas 9 selanjutnya membahas tentang peluang. Dibawah ini terdapat beberapa rumus peluang diantaranya :

Koordinat Kartesius
Kumpulan rumus Matematika SMP kelas 9 selanjutnya membahas tentang koordinat kartesius. Materi ini tersusun oleh bilangan x dan y.

Koordinat Kartesius ini ditentukan oleh pasangan bilangan x dan y. Kita dapat menentukan bilangannya dengan memperhatikan titik 0. Setelah itu lihat angka yang terdapat pada sumbu x dan y nya. Perhatikan pula tabel kwadran di bawah ini :

Fungsi Kuadrat
Kumpulan rumus Matematika SMP kelas 9 yang terakhir membahas tentang fungsi kuadrat. Materi ini mengandung grafik seperti koordinat kartesius namun bentuknya parabola terbuka ke atas (a ˃ 0) dan terbuka ke bawah (a ˂ 0). Berikut cara membuat grafik fungsi kuadrat :
- Tentukan nilai y = f(x)= ax²+bx²+c terhadap sumbu x jika y = 0
- Tentukan nilai titik potong jika x = 0
- Tentukan sumbu simetrinya menggunakan rumus

- Tentukan titik puncak y = f (x) menggunakan rumus

Inilah beberapa kumpulan rumus Matematika SMP kelas 9 yang dapat saya jelaskan. Semoga artikel ini dapat bermanfaat untuk anda. Terima kasih.